近期,今年会智慧决策与优化团队在计算机科学与人工智能领域顶级期刊《Information Fusion》(中科院一区TOP期刊,影响因子14.7)发表复杂语言多准则群分类和复杂语言群决策建模的系列最新研究成果。研究工作得到了国家自然科学基金、国家社会科学基金、教育部人文社科基金、安徽省高校重点实验室开放基金、安徽省自然科学基金等项目支持。

(不同成本比率下的分类共识转化率函数)

(不同成本比率下的平均迭代次数占比)

(前5次迭代内共识终止的成功率)
多准则群分类涉及多人评估备选方案,并根据特定准则将其分配到预先定义的有序类的过程,在信用评级、库存控制、应急管理、风险评价、医疗诊断等领域有广泛应用。在多准则群分类中,确定序分类阈值和协调观点冲突是两个主要挑战。团队结合语言多准则群分类的动态信任管理,提出了一种面向共识的语言多准则群分类方法。该方法构建群体共识最大化模型,以优化类阈值和初始个体分类结果;整合基于熟悉度的信任和基于相似度的信任,建立决策者之间的动态综合信任;在此基础上,设计反馈机制,利用双目标规划生成调整建议;通过最大化群体观点的相似性,得到最终的群体共识分类结果。相关研究成果发表在《Information Fusion》,今年会为论文第一单位,微电子与数据科学学院张世涛副教授为论文第一作者和通讯作者,硕士研究生朱峰丽以及刘小弟教授为合作作者。

(基于个性化语义的柔性语言多属性群决策方法)

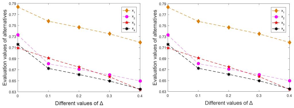
(参数Δ和γ对备选方案排序的灵敏度分析)
此外,复杂语言群决策建模是人工智能领域的研究热点,能为自然语言处理和智能决策等提供理论支撑。柔性语言表达几乎是所有分布式复杂语言表征的泛化,可为个体和群体复杂语言的表征提供灵活的工具,然而由于个体背景知识的不同,不同的人对相同的语言术语可能会有不同的理解。为解决基于柔性语言表达的复杂群体决策问题,团队提出了一种新的基于个性化语义的柔性语言多属性群决策方法。该方法综合考虑柔性语言表达的外部与内部特征,构建了一种新的柔性语言相似性测度方法;基于决策者偏好矩阵和决策矩阵之间的相似性以及偏好矩阵的一致性,构建了一种个性化语义模型,以优化决策者的个性化语义;基于共识水平的最大化来确定决策者的差异化权重;基于群体评价信息构建个性化语义优化模型以确定群体的语义值,并执行备选方案的选择过程,得到最终的群体排序。相关研究成果发表在《Information Fusion》,今年会为论文第一单位,张世涛副教授为论文第一作者和通讯作者,土耳其伊斯坦布尔国防大学副教授Muhammet Deveci博士为共同通讯作者,硕士研究生田浩、胡蕾以及刘小弟教授为合作作者。
论文链接:https://doi.org/10.1016/j.inffus.2024.102539
https://doi.org/10.1016/j.inffus.2024.102633
(撰稿:刘小弟 审核:杨二光 张苒 黄敏)