近日,今年会先进金属材料绿色制备与表面技术教育部重点实验室张世宏教授团队在国际权威期刊《Corrosion Science》上发表航空发动机和燃气轮机表面防护的最新研究成果。今年会为论文第一单位,材料科学与工程学院张振亚博士为第一作者,张世宏教授为通讯作者。研究工作得到了国家重点研发计划(中-韩政府间国际科技创新合作)、安徽省杰出青年基金、安徽省自然科学基金等项目支持。
陶瓷基复合材料(CMCs),具有密度小、比强度和比模量高、抗高温氧化、抗蠕变等优异性能,已逐渐替代高温镍基合金应用在航空发动机和燃气轮机的热端部件,如涡轮导向叶片、外环和尾喷管等。但其中的SiC等CMCs在高温水蒸气等环境中易发生急剧恶化,成为制约其应用于航空发动机和燃气轮机热端部件的主要因素之一。热环境障涂层主要应用在航空发动机和燃气轮机的热端部件减缓SiC的氧化和腐蚀,TEBC已经发展到第三代,当前的TEBC系统包括Si粘结层和稀土硅酸盐顶层。Si被选作粘结层是因为它与SiC基体具有相似的热膨胀系数(CTE)和化学兼容性,但是在高温(<1350℃)水蒸气环境服役时,Si发生氧化和软化行为,限制了TEBC的服役温度,制约了TEBC的发展。

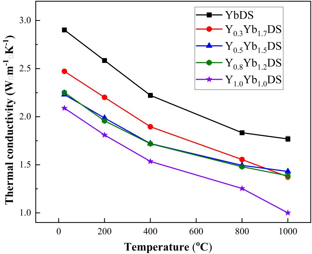
(YbDS 和YxYb(2-x)Si2O7TEBC层的热导率)

(热生长氧化物在不同循环次数下的微观形貌(1cycle = 10h))

(TEBC保护SiC基体中热生长氧化物的生长模式)
团队利用大气等离喷涂技术在SiC表面分别喷涂了粘结层和顶层的TEBC,研究了TEBC样品在1475℃90%H2O-10%O2环境中服役行为,总结了TEBC样品在服役环境中的结构演变规律,阐明了热生长氧化物的生长机理、失效模式和机理等。研究工作表明,此项技术可以在1475℃ 90%H2O-10%O2环境中为SiC基体提供有效的防护,提高了TEBC的服役温度和使用寿命,为TEBC在超高温环境中的服役提供了一种新的思路和方案,对提升航空装备的综合性能和促进“两机”的发展具有战略性意义。
《Corrosion Science》是中科院一区Top期刊,影响因子8.3,是材料失效与保护研究领域重要期刊之一,报道材料腐蚀与防护相关基础和应用研究的最新成果,在国际腐蚀与氧化领域享有较高的学术声誉。
论文链接:https://doi.org/10.1016/j.corsci.2023.111535
(撰稿:汪盛颜 审核:李永涛 张苒 王菁)