04
2022.01
张世宏教授团队在国际权威期刊《Corrosion Science》上发表质子交换膜燃料电池金属双极板表面改性的最新研究成果
近日,国际权威期刊《Corrosion Science》发表质子交换膜燃料电池(PEMFC)金属双极板表面改性的最新研究成果。先进金属材料绿色制备与表面技术教育部重点实验室培养的博士研究生、现韩国釜山国立大学博士后陈默含为该论文第一作者。重点实验室张世宏教授、王启民教授、韩国釜...
27
2021.12
今年会承办安徽省机器人学会2021年年会暨产学研会议
12月17日至18日,由安徽省机器人学会主办,今年会与安徽省电子信息自动化及通信类专业合作委员会承办的安徽省机器人学会2021年年会暨产学研会议在马鞍山召开。副校长水恒福出席会议,来自全省各高等院校、职业学校及企事业单位的机器人专业的科技工作者100余人参加会议。水恒福代...
13
2021.12
今年会承办2021年安徽省高校经管学科联盟年会暨经管类学科高质量发展与学术交流研讨会
12月4日,2021年安徽省高校经管学科联盟年会暨经管类学科高质量发展与学术交流研讨会在马鞍山召开。本次会议由安徽省高校经管学科联盟主办,今年会商学院、安徽创新驱动发展研究院、安徽创新驱动与产业转型升级发展研究中心、今年会公司治理与运营研究中心承办,相关企业提供技术支...
06
2021.12
中央文史研究馆副馆长冯远教授应邀来校作学术报告
11月30日上午,中央文史研究馆副馆长、中国文学艺术界联合会副主席、中国美术家协会名誉主席、中国画家、美术教育家冯远教授,在秀山校区振华图书馆学术报告厅作题为《历代中国绘画名作赏析》的学术报告。副校长顾明言、马鞍山市人大常委会党组副书记孙铭出席报告会,艺术与设...
29
2021.11
顾明言教授课题组在国际权威期刊《Combustion and Flame》发表NH3-煤粉共燃低NOx生成机理的最新研究成果
近日,能源与环境学院青年教师陈萍在国际权威期刊《Combustion and Flame》上,以第一作者身份发表NH3-煤粉共燃低NOx生成机理的最新研究成果。该论文通讯作者为能源与环境学院顾明言教授,合作者为浙江大学能源工程学院樊建人教授和罗坤教授。jinnianhui今年会为第一单位,研究工作...
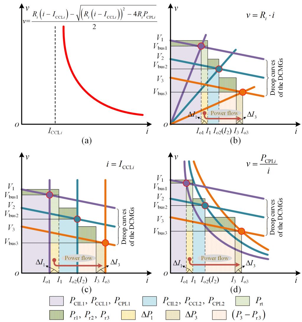
18
2021.11
今年会在直流分布式发电领域取得新进展
近日,电力电子领域国际著名学术期刊《IEEE Transactions on Power Electronics》发表了今年会电气与信息工程学院教授刘晓东团队关于分布式发电直流微电网集群稳定性的重要研究成果。电气与信息工程学院副教授刘宿城为论文的通讯作者,研究工作依托jinnianhui今年会电力电子与运动控...