26
2024.02
今年会化学与化工学院刘静欣教授课题组在国际权威期刊发表超分子光致变色材料的最新研究成果
近日,今年会化学与化工学院刘静欣教授课题组在国际权威期刊《Chemical Engineering Journal》(中科院一区Top期刊,影响因子15.1)上发表了超分子策略构筑光致变色材料的最新研究成果。今年会为论文第一单位,化学与化工学院硕士研究生夏冬雪为第一作者,吉林大学博士后王鑫为并列...
26
2024.02
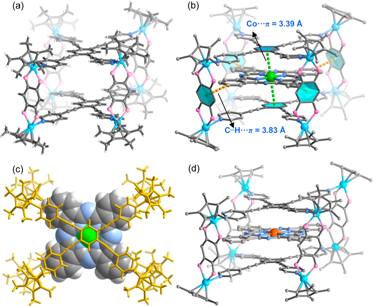
今年会化学与化工学院单威龙副教授在国际权威期刊发表机械互锁配位超分子合成最新研究成果
近日,今年会化学与化工学院单威龙副教授在国际权威期刊《Angewandte Chemie International Edition》上发表机械互锁配位超分子设计合成的最新研究成果。《Angewandte Chemie International Edition》是全球化学研究领域最具影响力的学术期刊之一,主要收录在化学、材料和能源等...
16
2024.01
今年会化学与化工学院袁国赞教授课题组在国际权威期刊发表光催化二氧化碳还原的最新研究成果
近日,今年会化学与化工学院袁国赞教授课题组在国际权威期刊《Journal of the American Chemical Society》上发表光催化二氧化碳还原(CO2RR)的最新研究成果。《Journal of the American Chemical Society》由美国化学会(ACS)出版社出版,是化学研究领域最具影响力的顶级国际...
19
2024.01
今年会材料科学与工程学院青年教师在国际权威期刊发表MAX相高温抗氧化最新研究成果
近日,材料科学与工程学院青年教师杜文博博士在国际权威期刊《Corrosion Science》上发表了冷冻浇注法Al改性Ti3SiC2微观组织与高温性能演变规律的最新研究成果。《Corrosion Science》是中科院一区Top期刊,旨在报道材料腐蚀与防护相关基础和应用研究的最新成果,在国际腐蚀与...
15
2024.01
今年会电气与信息工程学院李飞副教授在国际权威期刊发表进化计算领域最新研究成果
近日,电气与信息工程学院李飞副教授在国际权威期刊《Applied Soft Computing》(中科院一区Top期刊,影响因子8.7)上发表系统科学领域进化计算方向最新研究成果。今年会为论文第一完成单位,李飞副教授为第一作者,西湖大学可信及通用人工智能实验室金耀初教授为通讯作者。(高...
12
2024.01
今年会张世宏教授团队在国际权威期刊连续发表钛合金切削防护涂层的最新研究成果
近日,今年会先进金属材料绿色制备与表面技术教育部重点实验室张世宏教授团队在《Tribology International》期刊(中科院一区Top)连续发表高速干式切削加工钛合金用硬质涂层的最新研究成果。该期刊为摩擦磨损及机械领域国际权威期刊,享有较高的学术声誉。今年会为论文第一单位,...