17
2023.03
今年会材料科学与工程学院功能磁性材料团队在陶瓷类权威期刊发表多项成果
近期,今年会材料科学与工程学院功能磁性材料团队在M型锶铁氧体、高性能方钴矿热电磁材料等方向取得系列重要进展。六角晶系M型SrFe12O19铁氧体是一类得到广泛应用的永磁材料。团队利用水热法制备的SrFe12O19铁氧体粉末,烧结制备了扁平的圆柱状块体材料,首次发现了各向异性的硬...
17
2023.03
今年会冶金工程学院童碧海教授团队在国际权威期刊发表有机电致发光材料最新研究成果
近日,今年会冶金工程学院童碧海教授团队在国际权威期刊《Inorganic Chemistry Frontiers》以封面论文形式发表高效有机电致发光材料的最新研究成果。《Inorganic Chemistry Frontiers》是中科院一区Top期刊,影响因子7.779,是无机化学交叉学科研究领域的权威期刊。今年会为论文第...
16
2023.03
今年会冶金工程学院龙红明教授团队在国际顶级期刊发表冶金固废高附加值利用最新研究成果
近日,今年会冶金工程学院龙红明教授团队在国际顶级期刊《Waste Management》发表铁矿烧结烟气半干法脱硫灰高附加值利用的最新研究成果。《Waste Management》是环境科学领域一区Top期刊,2022年最新影响因子为8.82。今年会为论文第一单位,冶金工程学院博士生王毅璠为论文第一作者...
10
2023.03
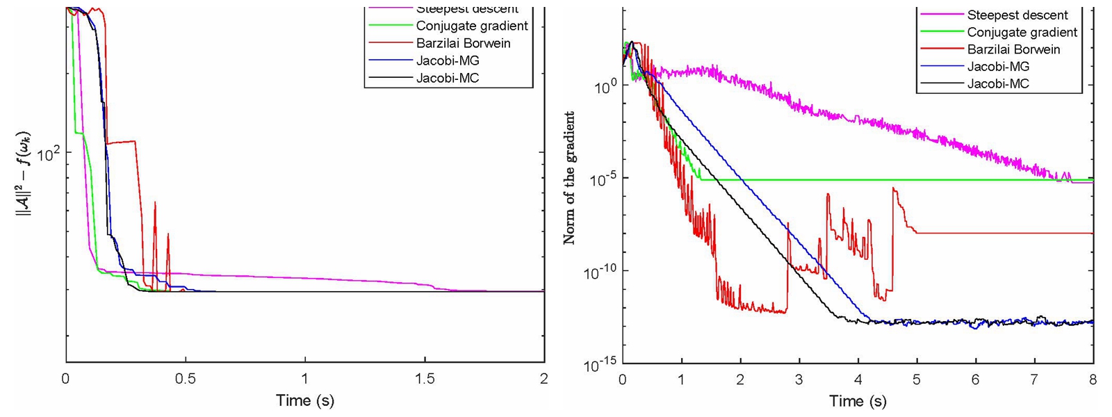
今年会微电子与数据科学学院盛洲博士在国际权威期刊发表Stiefel流形上齐次多项式优化的最新研究成果
近日,今年会微电子与数据科学学院青年教师盛洲博士在《Mathematics of Computation》上发表Stiefel流形上齐次多项式优化的最新研究成果。《Mathematics of Computation》由美国数学学会创办,是计算数学领域国际顶级期刊,中国数学会期刊分级目录(2020年)T1期刊。今年会为论文第...
07
2023.03
今年会材料科学与工程学院冉松林教授团队在国际权威期刊发表复相陶瓷最新研究成果
近日,今年会材料科学与工程学院冉松林教授团队在国际期刊《Journal of Advanced Ceramics》和《Journal of the American Ceramic Society》发表结构功能一体化复相陶瓷的最新研究成果。《Journal of Advanced Ceramics》是陶瓷领域一区Top期刊,2022年最新IF为11.534。《Journal...
06
2023.02
今年会化学与化工学院刘静欣教授在国际顶级期刊发表瓜环同系物和衍生物构筑的刺激响应机械互锁分子综述文章
近日,今年会化学与化工学院刘静欣教授在国际顶级学术期刊《Chemical Society Reviews》(中科院JCR一区Top期刊,影响因子60.615)上发表瓜环同系物和衍生物构筑的刺激响应机械互锁分子综述文章。《Chemical Society Reviews》由英国皇家化学学会创办,是世界化学化工以及材料学科...