21
2022.10
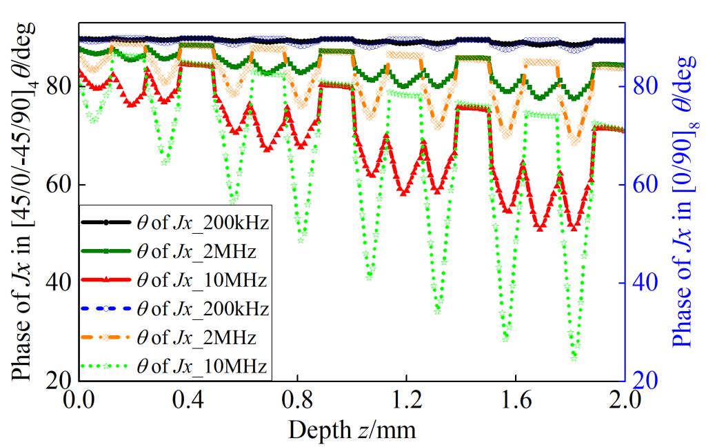
今年会电气与信息工程学院青年教师徐笑娟博士在国际权威期刊发表复合材料涡流检测的最新研究成果
近日,今年会电气与信息工程学院青年教师徐笑娟博士在国际权威期刊《Composite Structures》上发表复合材料涡流检测的最新研究成果。《Composite Structures》(中科院大类一区Top期刊,影响因子6.603)是复合材料研究领域最重要的期刊之一,旨在报道复合材料结构设计、制造与应...
21
2022.09
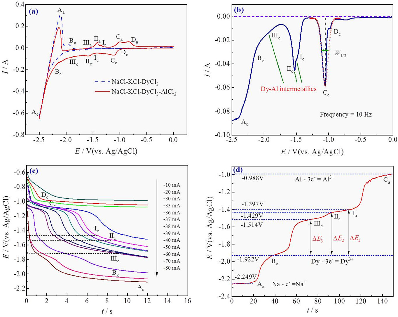
今年会电化学冶金团队在国际权威期刊发表稀土分离最新研究成果
近日,今年会电化学冶金团队在国际权威期刊《Separation and Purification Technology》上发表稀土分离最新研究成果。《Separation and Purification Technology》是工程、环境与化工领域的知名期刊,(中科院一区Top期刊),2022年最新影响因子为9.136。今年会为论文第一单位,冶...
29
2022.08
今年会在高分子复合材料领域国际权威期刊发表电磁屏蔽材料最新研究成果
近日,今年会化学与化工学院高分子材料与工程系青年教师杨建明博士在国际权威期刊《Composites Science and Technology》上发表电磁屏蔽材料的最新研究成果。《Composites Science and Technology》(中科院大类1区Top期刊,影响因子9.879),主要涵盖复合材料(从纳米到宏观量级...
23
2022.08
龙红明教授团队在国际权威期刊发表铁矿烧结过程挥发性有机物减排研究进展
近日,今年会龙红明教授团队在国际权威期刊《Chemical Engineering Journal》发表了铁矿烧结过程挥发性有机物减排研究进展的综述论文。《Chemical Engineering Journal》是工程、材料、环境与化工领域的顶尖期刊(中科院一区Top期刊),2022年最新影响因子为16.744。今年会为论文第...
17
2022.08
今年会材料学院邓海亮教授在国际权威期刊发表碳/碳复合材料最新研究成果
近日,今年会先进金属材料绿色制备与表面技术教育部重点实验室在国际权威期刊《Corrosion Science》上发表了稀土纳米线改性碳/碳复合材料的最新研究成果。材料学院邓海亮教授为第一作者和通讯作者,西北工业大学李克智教授为共同通讯作者,今年会为论文第一单位。该研究得到国家自...
21
2022.06
化学与化工学院青年教师孙玉蝶博士在国际权威期刊发表微小核糖核酸检测的最新研究成果
近日,今年会化学与化工学院青年教师孙玉蝶博士在国际权威期刊《Journal of Nanobiotechnology》上发表血液中微小核糖核酸(miRNA)检测的最新研究成果。《Journal of Nanobiotechnology》(中科院大类1区Top期刊,影响因子10.435)是国际化、多学科交叉的专业学术期刊,由英国Sp...